a动漫
21天读书打卡活动已过去三分之二,各支部党员的读书学习一直在持续,刚过去的一周,各位党员又学习了哪些新的内容呢,下面我们一起看看:
水产养殖学本科生第一党支部 李昌顺:

水产养殖学本科生第一党支部 尹安琪

水产养殖学本科生第一党支部 邓琦琦

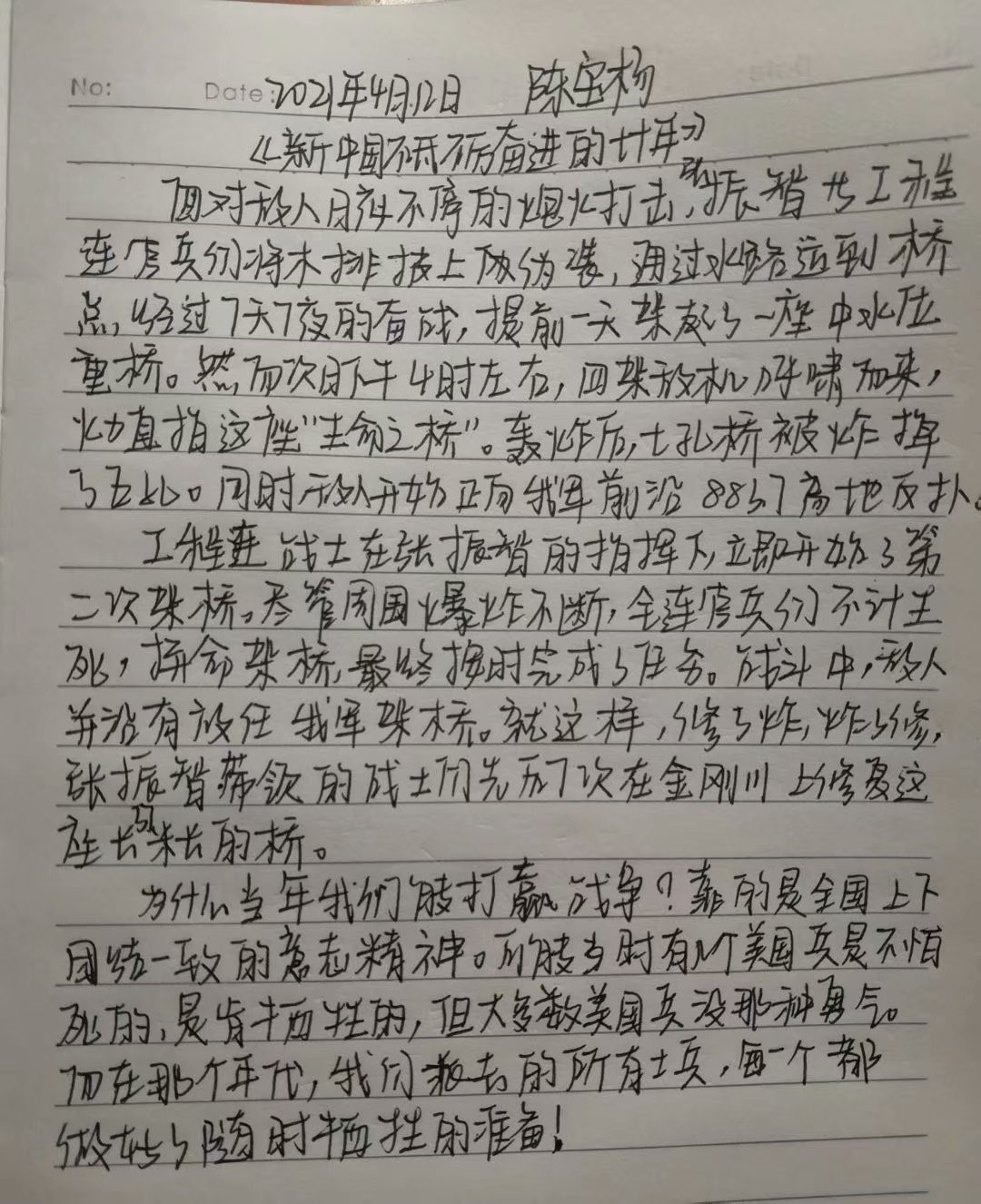
水产养殖学本科生第一党支部 陈宝杨

水产养殖学本科生第二党支部 王胜男

水产养殖学本科生第二党支部 刘韩慧

水产养殖学本科生第二党支部 黄金赫

水产养殖学本科生第二党支部 潘键

水族科学与技术本科生党支部 涂嘉明

水族科学与技术本科生党支部 雷瑞彬

审核人:曹玉琼 庄子梦